-
-
-
Tổng tiền thanh toán:
-
DÒNG ĐỊNH MỨC DÂY ĐIỆN NHÔM
Đăng bởi CÔNG TY TNHH KORESU 03/04/2023
DÒNG ĐỊNH MỨC DÂY ĐIỆN NHÔM
Dòng Định Mức Dây Điện Nhôm
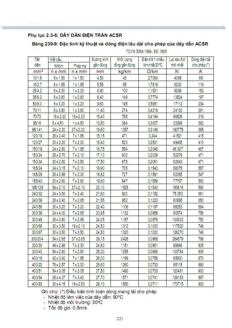
1.Đặc Tính Kỹ Thuật Và Dòng Điện Lâu Dài Cho Phép Của Dây Dẫn ACSR
- 1.TỔNG QUAN
Dây nhôm lõi thép – ACSR (As, AC) sử dụng cho đường dây tải điện trên không.
Tại các vùng biển hay các miền không khí có tính ăn mòn kim loại cao, dây nhôm lõi thép trần được tra mỡ trung tính chịu nhiệt có nhiệt độ chảy nhỏ giọt không thấp hơn 1200C.
- 2.TIÊU CHUẨN ÁP DỤNG
TCVN 5064 – 1994; TCVN 5064 : 1994/SĐ 1 : 1995
TCVN 6483/IEC 61089
ASTM B232
DIN 48204
- 3.CẤU TRÚC

CẤU TRÚC ACSR
- 4.ĐẶC TÍNH KỸ THUẬT DÂY ACSR

Đặc tính kỹ thuật theo TCVN 5064
- 5. ĐẶC TÍNH KỸ THUẬT DÂY ACSR THEO TCVN 6483/IEC 61089

Đặc tính kỹ thuật theo TCVN 6483/IEC 61089
Giá trị tham khảo – Đây là giá trị ước tính đường kính, ước tính khối lượng sản phẩm nhằm phục vụ cho công tác thiết kế, vận chuyển, lưu kho sản phẩm. Không phải là chỉ tiêu đánh giá chất lượng sản phẩm.
Reference value – This is the value to estimate the overall diameter, estimate the mass of products for design purposes, transportation, storage products. Not a value for evaluate the quality of products.
- 6.ĐẶC TÍNH KỸ THUẬT DÂY ACSR THEO DIN 48204

Đặc tính kỹ thuật ACSR theo DIN 48204
Giá trị tham khảo – Đây là giá trị ước tính đường kính, ước tính khối lượng sản phẩm nhằm phục vụ cho công tác thiết kế, vận chuyển, lưu kho sản phẩm. Không phải là chỉ tiêu đánh giá chất lượng sản phẩm.
Reference value – This is the value to estimate the overall diameter, estimate the mass of products for design purposes, transportation, storage products. Not a value for evaluate the quality of products.
2.CÁP VẶN XOẮN ABC BỌC XPLE
XLPE là gì?
+XLPE là gì là câu hỏi của nhiều người thắc mắc. XLPE là chữ viết tắt tên tiếng Anh của liên kết polyethylene, polyethylene là một loại cấu trúc phân tử tuyến tính. Quá trình liên kết chéo polyethylene làm cho nó trở thành một cấu trúc dạng lưới. Cấu trúc này có khả năng chống lại biến dạng ngay cả ở nhiệt độ cao. Vật liệu cáp XLPE là một loại polyethylene có chứa peroxit hữu cơ. Dưới điều kiện nhiệt độ cao và áp suất cao và khí trơ. Peroxit được phản ứng hoá học với polyethylene, làm cho nhựa polyethylene nhiệt dẻo thành polyethylene nhiệt dẻo, cụ thể là XLPE.
+Cáp XLPE có hiệu suất điện rất tốt, tổn thất điện môi nhỏ hơn lớp cách điện bằng giấy . Cách điện PVC, dung lượng của cáp XLPE cũng rất nhỏ. Chính vì vậy, dòng điện sạc và dòng lõi đất có thể được giảm xuống trong hệ thống đất .
+Ưu điểm của XLPE là dễ dàng lắp đặt, cáp XLPE có bán kính uốn nhỏ hơn, nhẹ hơn các loại cáp tương tự khác và có một thiết bị đầu cuối đơn giản hơn. Vì cáp XLPE không phải là dầu, nên không cần phải xem xét tuyến đường khi lắp cáp XLPE. Độ bền lão hóa tuyệt vời và sự biến dạng kháng nhiệt cực kỳ tốt là hai yếu tố quyết định rằng cáp XLPE có thể cho phép dòng điện lớn đi qua.
Cấu tạo và vật liệu của XLPE
+ Ruột dẫn: Ruột dẫn của cáp bọc thường gồm 2 lọai nén tròn hoặc xoắn tròn và được làm bằng vật liệu đồng hoặc nhôm.
+ Màng chắn ruột dẫn: Tất cả các lọai cáp bọc có cấp điện áp từ 3.6 kV đều được chế tạo lớp màng chắn ruột dẫn bằng vật liệu phi kim lọai và gồm 2 dạng: lớp bán dẫn dạng dải băng hoặc lớp hỗn hợp chất bán dẫn định hình bằng phương pháp đùn hay có thể là sự kết hợp cả 2 loại trên.
+ Lớp cách điện: Cách điện là lớp polyethylene khâu mạch (XLPE) được định hình bằng phương pháp đùn.
+ Lớp bọc bên trong (ứng dụng cho lọai cáp có lớp giáp bảo vệ): Đối với lọai cáp bọc có giáp bảo vệ, nếu không sử dụng lớp màn chắn thì có thể thay thế bằng một lớp bọc bằng vật liệu PVC. Trong trường hợp lớp màn chắn kim lọai và lớp giáp bảo vệ được làm bằng các vật liệu kim lọai khác nhau thì lớp bọc bằng vật liệu PVC có tác dụng ngăn cách giữa các vật liệu kim lọai này.
+ Lớp vỏ bọc bên ngoài: Tất cả các lọai cáp thường được bọc bên ngoài bằng một lớp vỏ bọc PVC màu đen và thực hiện bằng phương pháp đùn. Bên cạnh đó, lớp vỏ bọc bên ngoài còn có thể được làm bằng các lọai vật liệu và màu sắc khác như Polyethylene, nhựa PVC chống cháy, …
+ Đánh dấu ruột dẫn: Các lọai cáp nhiều lõi đều được đánh dấu như sau:
Đặc Biệt
+Đối với lọai cách điện từ 0.6/1kV đến 3.6 kV.
+Hai lõi: Màu Đỏ, Đen hoặc số 1, số 2.
+Ba lõi: Màu Đỏ, Xanh dương, Đen hoặc số 1, 2, 3.
+Bốn lõi: Màu Đỏ, Vàng, Xanh dương, Đen hoặc số 1, 2, 3, 4.
+Đối với lọai cách điện từ 3.6 kV đến 36 kV.
+Ba lõi: Màu Trắng, Đỏ, Xanh dương hoặc số 1, 2, 3.
+Các cách đánh dấu trên có thể thay đổi theo yêu cầu.
– Thông tin trên vỏ cáp: Các thông tin được ghi trên vỏ cáp bao gồm: Điện áp định mức, chủng loại cáp, nhà sản xuất, năm sản xuất.
Độ sụt áp :
Một yếu tố quan trọng khác phải xem xét khi chọn cỡ cáp là độ sụt áp do tổn hao trên cáp.
Độ sụt áp phụ thuộc vào:
- Dòng điện tải
- Hệ số công suất
- Chiều dài cáp
- Điện trở cáp
- Điện kháng cáp
IEE 522-8 quy định độ sụt áp không được vượt quá 2.,5% điện áp danh định
Với mạch 1 pha 220V độ sụt áp cho phép 5.5V
Với mạch 3 pha 380V độ sụt áp cho phép 9.5V.
Khi sụt áp lớn hơn mức cho phép thì khách hàng phải chọn cáp có tiết diện ruột dẫn lớn hơn.

Cách để bảo quản hệ thống dây cáp trong công nghiệp
Trên thị trường hiện có nhiều cơ sở phân phối sản phẩm, bạn cần lưu ý đến một số yếu tố sau trước khi mua:
Thương hiệu cung cấp dây cáp
Có nhiều thương hiệu cung cấp các sản phẩm dây cáp đồng. Do đó, bạn cần chọn đơn vị có uy tín, đặc biệt có nhiều năm kinh nghiệm trên thị trường.
Lưu ý rằng, quý khách hạn chế chọn sản phẩm không có bao bì hay nhãn mác. Một số thương hiệu cáp đồng cao cấp bạn có thể chọn lựa gồm cáp Trần Phú, Cadisun hay Cadivi… Chúng thường có chất lượng tốt, mức giá phải chăng và đặc biệt truyền tải tín hiệu tốt.
Lưu ý đến bề mặt vỏ nhựa bên ngoài
Lúc này, khách hàng cần quan sát bề mặt bên ngoài của dây cáp đồng. Chúng cần đáp ứng các tiêu chí như nhẵn, bóng, không bị gồ ghề hay xù xì.
Bên cạnh đó, lớp cách điện có chất lượng tốt thường có độ dẻo tốt, tính đàn hồi cao.
Số lượng sợi dây dẫn bên trong
Thông số trên dây cáp điện là một căn cứ quan trọng để khách hàng đánh giá chất lượng sản phẩm. Thông thường, cáp đồng tốt sẽ có ruột mềm và khả năng xoắn lại linh hoạt. Đặc biệt, chúng không bị bung gãy hoặc bẻ gập.

Hình ảnh sản phẩm thực tế
Yêu cầu kỹ thuật đối với hệ dẫn điện điện áp đến 1kv

Cáp điện vặn xoắn hạ áp
3.Dòng Điện Lâu Dài Cho Phép Của Cáp Hạ Áp Cách Điện PVC Và XLPE
I.LỰA CHỌN DÂY & CÁP :
Khi chọn cáp, khách hàng cần xem xét những yếu tố sau:
- Dòng điện định mức
- Độ sụt áp
- Dòng điện ngắn mạch
- Cách lắp đặt
- Nhiệt độ môi trường hoặc nhiệt độ đất
Dòng điện định mức :
Dòng điện chạy trong ruột cáp thì sẽ sinh nhiệt làm cho cáp nóng lên. Khi nhiệt độ cáp vượt quá mức cho phép thì phải chọn cáp có tiết diện ruột dẫn lớn hơn. Các bảng về dòng điện định mức và độ sụt áp sau đây dựa trên :
- Nhiệt độ làm việc cho phép tối đa của ruột dẫn.
- Nhiệt độ không khí
- Nhiệt độ đất
- Nhiệt trở suất của đất.
- Độ sâu lắp đặt (khi chôn cáp trong đất)
- Điều kiện lắp đặt

Độ sụt áp :
Một yếu tố quan trọng khác phải xem xét khi chọn cỡ cáp là độ sụt áp do tổn hao trên cáp.
Độ sụt áp phụ thuộc vào:
- Dòng điện tải
- Hệ số công suất
- Chiều dài cáp
- Điện trở cáp
- Điện kháng cáp
IEE 522-8 quy định độ sụt áp không được vượt quá 2.,5% điện áp danh định
Với mạch 1 pha 220V độ sụt áp cho phép 5.5V
Với mạch 3 pha 380V độ sụt áp cho phép 9.5V.
Khi sụt áp lớn hơn mức cho phép thì khách hàng phải chọn cáp có tiết diện ruột dẫn lớn hơn.
II. Cáp cách điện PVC
Cáp đồng bọc điện loại PVC được ứng dụng rộng rãi trong điện dân dụng và điện công nghiệp. Chúng được sử dụng khá nhiều và ngày càng có lượng tiêu thụ lớn hơn. Loại cáp này có nhiều ưu điểm nổi bật có thể kể đến như:
- Khả năng chịu được đa dạng môi trường, thời tiết khắc nghiệt.
- Hoạt động bền bỉ và chống chịu trước những thay đổi bất thường của thời tiết.
- Tính thay thế đa dạng, sản phẩm có thể thay thế cho nhiều loại dây điện ngoài trời thông thường.
II.1.Cấu tạo và chất liệu
Về chất liệu, đây là loại dây cáp được làm từ chất liệu đồng. Phần cách điện được làm từ nguyên liệu nhựa PVC. Chúng còn được ký hiệu là CV. Thông qua ký hiệu này, quý khách có thể dễ dàng chọn lựa sản phẩm cho phù hợp.
Về cấu tạo, sản phẩm được tạo thành từ 5 lớp bao gồm:
- Phần lõi được làm từ đồng
- Phần cách điện được làm từ vật liệu XLPE
- Lớp bọc dây điện được làm từ nhựa PVC
- Lớp áo giáp phía bên ngoài được làm từ nhôm
- Lớp bọc bên ngoài từ nhựa PVC.

II.2.Tính ứng dụng
- Cáp đồng cách điện PVC được sử dụng nhằm truyền tải điện và các tín hiệu điện tử. Chúng còn được gọi với tên gọi khác là cáp điều khiển.
- Sử dụng cáp đồng làm cầu nối trong hệ thống điện dân dụng và điện công nghiệp.
- Người dùng có thể ứng dụng trong đường điện cao thế và đường điện tại khu công nghiệp và công trình.
- Ngoài ra, cáp đồng còn được sử dụng để tinh luyện nhằm làm lõi dẫn. Phần vỏ bọc bên ngoài có ưu điểm lớn giúp thiết bị chống cháy nổ.
II.3.Kinh nghiệm chọn mua cáp đồng dùng để cách điện loại PVC
Trên thị trường hiện có nhiều cơ sở phân phối sản phẩm, bạn cần lưu ý đến một số yếu tố sau trước khi mua:
II.4..Thương hiệu cung cấp dây cáp
Có nhiều thương hiệu cung cấp các sản phẩm dây cáp đồng. Do đó, bạn cần chọn đơn vị có uy tín, đặc biệt có nhiều năm kinh nghiệm trên thị trường.
Nguyên Long là công ty chuyển sản xuất dây cáp . Chúng thường có chất lượng tốt, mức giá phải chăng và đặc biệt truyền tải tín hiệu tốt.
Lưu ý đến bề mặt vỏ nhựa bên ngoài
Lúc này, khách hàng cần quan sát bề mặt bên ngoài của dây cáp đồng. Chúng cần đáp ứng các tiêu chí như nhẵn, bóng, không bị gồ ghề hay xù xì.
Bên cạnh đó, lớp cách điện có chất lượng tốt thường có độ dẻo tốt, tính đàn hồi cao.
Số lượng sợi dây dẫn bên trong
Thông số trên dây cáp điện là một căn cứ quan trọng để khách hàng đánh giá chất lượng sản phẩm. Thông thường, cáp đồng tốt sẽ có ruột mềm và khả năng xoắn lại linh hoạt. Đặc biệt, chúng không bị bung gãy hoặc bẻ gập.
Giá thành sản phẩm
Hiện nay có nhiều mức giá cho các loại dây khác nhau. Bạn cần cân nhắc vào khả năng đầu tư để chọn lựa sản phẩm tương xứng. Tuy nhiên, khách hàng nên hạn chế chọn sản phẩm có mức giá quá thấp. Chúng có thể không đảm bảo tốt nhu cầu sử dụng của người dùng.
Trên đây là các kiến thức về cáp đồng cách điện PVC. Hy vọng với những kinh nghiệm chia sẻ trên đây, bạn sẽ lựa chọn được dòng sản phẩm phù hợp với chất lượng tốt nhất.
III.Dây cáp XLPE
III.1.Khái Niệm
Nhiều người nhìn thấy trên ký hiệu dây cáp điện XLPE nhưng chưa hiểu đó là gì. Đây là chữ viết tắt tiếng anh của liên kết polyethylene, một loại cấu trúc phân tử tuyến tính. Qúa trình liên kết polyethylene làm cho nó trở thành 1 cấu trúc dạng lưới có khả năng chống lại biến dạng ngay cả ở nhiệt độ cao. Vật liệu XLPE là 1 loại polyethylene có chứa peroxit hữu cơ. Dưới điều kiện nhiệt độ, áp suất cao và khí trơ thì peroxit được phản ứng hóa học với polyethylene làm cho nhựa polyethylene thành polyethylene nhiệt dẻo, cụ thể là XLPE.
Cáp điện XLPE có hiệu suất điện tốt, tổn thất điện môi nhỏ hơn so với với cách điện bằng giấy và cách điện PVC, dụng lượng của XLPE cũng rất nhỏ. Vì thế, dòng điện sạc và dòng lõi đất có thể được giảm xuống trong hệ thống đất không hoạt động ngôi sao.
XLPE có ưu điểm là nó dễ dàng lắp đặt, cáp XLPE có bán kính uốn nhỏ hơn, nhe hơn do với những loại cáp tương tự và có 1 thiết bị đầu cuối đơn giản. Do cáp XLPE không phải là dầu, nên không cần xem xét tuyến đường khi lắp. Hơn nữa, nó có độ bền cao, chịu nhiệt tốt nên có thể cho phép dòng điện lớn đi qua.
III.2.Cấu tạo và vật liệu của XLPE
Ruột dẫn: ruột dẫn của cáp thường bao gồm 2 loại nén tròn hoặc xoắn tròn được làm từ những sợi dây đồng hoặc nhôm sau khi được kéo rút dây bằng công nghệ kéo kim loại thông qua khuôn kéo dây hợp kim
Màng chắn ruột dẫn: tất cả các loại cáp bọc có cấp điện áp từ 3.6kV đều được chế tạo 1 lớp màng chắn có ruột dẫn bằng vật liệu phi kim loại gồm 2 dạng đó là: lớp bán dẫn dạng dải băng hoặc hốn hợp chất bán dẫn định hình bằng phương pháp đùn hay sự kết hợp của cả 2 loại trên.
Lớp cách điện: là lớp polyethylene khâu mạch (XLPE) được định hình bằng phương pháp đùn.
Màng chắn bao bọc lấy lớp cách điện : Lớp màng chắn này sẽ được định hình theo phương pháp đùn, loại này khá dễ bóc tách bên cạnh đó còn có thể thêm hợp chất dính để các lướp cố định với nhau, khó bóc tách hơn.
Lớp bọc bên trong:
với loại cáp bọc có giáp bảo vệ, nếu không sử dụng lớp màn chắn thì thay thế được bằng 1 lớp bọc bằng vật liệu PVC. Trong trường hợp lớp màn chắn kim loại và lớp giáp bảo vệ được làm từ những kim loại khác nhau thì lớp bọc bằng vật liệu PVC có tác dụng ngăn cách giữa các vật liệu kim loại này.
Giáp bảo vệ bằng kim loại: lớp giáp bảo vệ cáp, tùy theo yêu cầu, có thể là lớp giáp dây tròn bao bọc quanh dây dẫn hoặc lớp băng quấn kẹp và được chế tạo bằng vật liệu thép tráng kẽm hay nhôm. Riêng với loại cáp 1 lõi, lớp bảo vệ thường làm từ vật liệu nhôm do nó không bị từ hóa của lớp giáp bọc khi sử dụng cáp 1 lõi trong hệ thống điện xoay chiều.
Vỏ bọc bên ngoài: tất cả các loại cáp thường được bọc bên ngoài bằng 1 lớp vỏ bọc PVC màu đen, và sự xuất hiện bằng phương pháp đùn.
III.3.Ưu điểm của cáp XLPE
Nếu so sánh với các loại cáp thông thường, cáp XLPE sở hữu khá nhiều ưu điểm vượt trội như:
- Dễ dàng tạo hình, di chuyển và lắp đặt
- Sở hữu tiết diện nhỏ, khối lượng nhẹ nhưng hiệu suất truyền tải khá cao
- Cực kì bền, ít bị biến khi gặp nhiệt độ cao
- Có khả năng truyền dẫn dòng điện với điện áp cực lớn
Dòng Điện Lâu Dài Cho Phép Của Cáp Hạ Áp Cách Điện PVC Và XLPE
Chia sẻ:
Các tin khác
- Sên (xích) xe máy 01/10/2025
- tài liệu cimatron tuyển 3D KORESU 15/06/2025
- Hướng dẫn Điều khiển vị trí bằng xung và tín hiệu hướng (MINAS A5/A5E/A6SG/A6SF) 28/02/2025
- Thiết bi và dụng cụ trong gia công EDM 24/04/2024
- Chu trình khoan trong phay CNC 23/04/2024
- Các mã lệnh gia công CNC phổ biến 04/08/2023
- M-Code là gì? Các mã lệnh M-Code trong gia công CNC 20/07/2023